Capteurs de Courant • Transducteurs, Modules d'Interface et Câbles

Nous vous proposons un large choix de capteurs de courant : capteurs de courant, capteurs d'impulsions, capteur de surveillance de courant résiduel, détecteur de courant, module de mesure de tension, technologie fluxgate...

Découvrez aussi nos modules d'interfaces multivoies et câbles spécifiques pour réaliser toutes vos mesures de courant

Consultez aussi notre dossier complet pour tout savoir sur les capteurs de courant :

Il y a 59 produits.

Affichage 1-59 de 59 article(s)

Filtres actifs

Filtrer par

Catégorie de produits

Catégorie de produits

Sortie

Sortie

Bande passante

Bande passante

Technologie

Technologie

Faites appel à nos experts Alliantech pour choisir votre capteur de courant

Avec Alliantech, vous avez la garantie du choix, du conseil et de la qualité de service.

Qu’est-ce qu’un capteur de courant ?

Un capteur de courant ou transducteur de courant est un instrument de mesure qui permet d'évaluer avec précision l'intensité du courant électrique présent dans un circuit.

Ce type de capteurs est capable de mesurer soit des courants continus (DC) soit des courants alternatifs (AC). 

Ils reproduisent alors un signal de sortie proportionnel à l'intensité du courant mesuré.

En sortie, les capteurs Danisense proposent soit une tension soit une intensité / courant. 

capteurs courant fluxgate transducteurs gamme Danisense
Gamme de capteurs de courant standards conçus par Danisense

Quels sont les différents types de capteur de courant ?

1. Capteurs à effet Hall

Les capteurs à effet Hall mesurent des courants alternatifs (AC) et continus (DC). Pour ce faire, ils détectent le champ magnétique généré par le courant circulant dans un conducteur.

Ce type de capteurs permet d'effectuer des mesures sans contact direct avec le circuit.

2. Résistances shunt

Les shunts mesurent le courant en détectant la chute de tension aux bornes d’une résistance de faible valeur placée en série dans le circuit.

Ce type de capteur est une solution simple et précise, mais elle nécessite une connexion directe (intrusive) au circuit à mesurer.

3. Transformateurs de courant (CT)

Ces transducteurs de courant sont utilisés principalement pour la mesure du courant alternatif (AC).

Ils fonctionnent par induction, c'est-à-dire que le courant à mesurer passe dans un enroulement primaire, induisant un courant proportionnel dans un enroulement secondaire.

Ce type de capteur est souvent utilisé pour des mesures de fortes intensités, sans contact direct.

4. Capteurs à boucle Rogowski

Le capteur à boucle Rogowski est une bobine souple placée autour du conducteur.

Ce type de capteur mesure le courant alternatif par induction, sans contact direct. 

Il est adapté aux fortes intensités et aux formes d’ondes complexes.

5. Capteurs magnéto-résistifs

Les capteurs magnéto-résistifs utilisent la variation de résistance d’un matériau en présence d’un champ magnétique généré par le courant.

Ce type de capteurs de courant peut offrir une bonne sensibilité pour des applications spécifiques.

6. Capteurs de courant à fluxgate

Les capteurs à fluxgate utilisent un noyau magnétique saturable et un principe de détection basé sur la variation d’induction magnétique sous excitation alternative.

Ils sont réputés pour leur précision, leur stabilité en température, leur faible bruit et leur plage dynamique . Ils peuvent aussi bien mesurer des courants très faibles ou très forts.

Enfin, ils sont aussi moins sensibles aux interférences et aux erreurs liées à la température que les capteurs à effet Hall.

Comparatif des différents types de capteur de courant

  • Type de capteur

    Mesure du courant alternatif (AC)

    Mesure du courant continu (DC)

    Précision

    Plage de courant

    Contact direct

  • Capteur à Effet Hall

    Mesure du courant alternatif (AC) :

    Mesure du courant continu (DC) :

    Précision : Moyenne

    Plage de courant : Faible à élevée

    Contact direct : Non

  • Résistance Shunt

    Mesure du courant alternatif (AC) :

    Mesure du courant continu (DC) :

    Précision : Élevée

    Plage de courant : Faible à moyenne

    Contact direct : Oui

  • Transformateur de Courant (CT)

    Mesure du courant alternatif (AC) :

    Mesure du courant continu (DC) :

    Précision : Bonne

    Plage de courant : Moyenne à très élevée

    Contact direct : Non

  • Boucle Rogowski

    Mesure du courant alternatif (AC) :

    Mesure du courant continu (DC) :

    Précision : Bonne

    Plage de courant : Élevée à très élevée

    Contact direct : Non

  • Magnéto-résistif

    Mesure du courant alternatif (AC) :

    Mesure du courant continu (DC) :

    Précision : Bonne

    Plage de courant : Faible à moyenne

    Contact direct : Non

  • Capteur à Fluxgate

    Mesure du courant alternatif (AC) :

    Mesure du courant continu (DC) :

    Précision : Très élevée

    Plage de courant : Microampères à plusieurs kA

    Contact direct : Non

Quels sont les principaux avantages des différentes technologies de capteurs de courant ?

Capteurs à Effet Hall : polyvalents, sans contact et avec coût modéré

Résistances Shunt : simplicité d'utilisation, précision et faible coût

Transformateurs de courant (CT) : isolation galvanique, mesures de fortes intensités

Boucle Rogowski : flexible, non intrusive et large plage de courant

Magnéto-résistif : sensibilité et compacité

Fluxgate : précision, stabilité, faible bruit et large dynamique

Comparatif des capteurs de courant standards à technologie Fluxgate - Danisense

Comparatif des capteurs de courant Fluxgate spéciaux ou à haute intensité - Danisense

Vous recherchez un capteur de courant ?

Nos experts Alliantech vous accompagnent dans le choix du capteur de courant le plus adapté à vos applications.

Capteurs de courant : les 21 questions fréquemment posées par nos utilisateurs (FAQ)

Nous vous proposons de répondre ici aux questions qui sont posées le plus souvent par nos utilisateurs de capteurs de courant :

1 - Puis-je mesurer des courants dans la gamme des mA ?

En général, il est possible de mesurer des courants très faibles avec les capteurs de courant Danisense. Les spécifications de précision sont indiquées dans la fiche technique, en page 3.

capteurs transducteurs mesure courants faibles specifications precision

Vous pouvez ainsi calculer l’erreur totale même pour de très faibles courants.

Par exemple, la précision globale du capteur de courant DS50UB-10V est présentée ci-dessous.

capteurs transducteurs mesure courants faibles precision globale

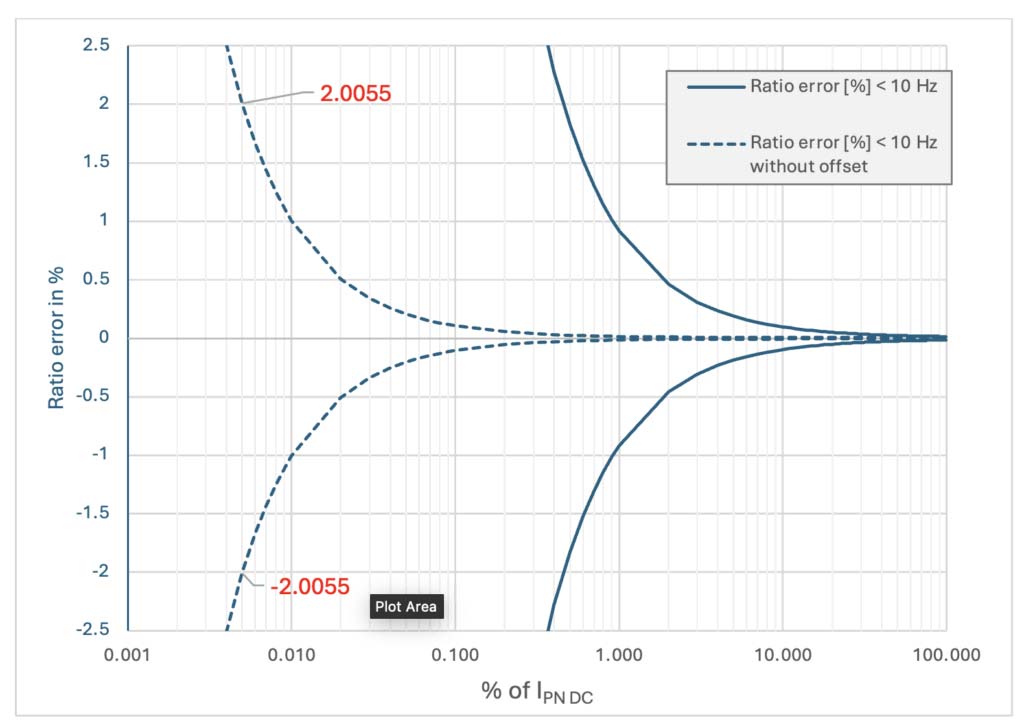
La meilleure précision possible s’obtient si le décalage continu (offset DC) du capteur est compensé dans l’appareil de mesure. Les courbes en traits pointillés montrent la précision sans compensation de l’offset DC. La précision à 2,5 mA de courant primaire (0,005 % de IPN DC) est de ±2 % pour ce capteur.

Vous trouverez ci-dessous des valeurs issues de tests en production pour le capteur DS50UB-10V sans correction d’offset DC.

capteurs transducteurs mesure courants faibles valeurs tests precision

Ces niveaux de précision ne peuvent être atteints qu’avec des équipements de mesure professionnels disposant d’options de filtrage adaptées. Cela permet de réduire au maximum les signaux parasites tels que le bruit.

2 - Les variations rapides de tension (dV/dt) dans le conducteur primaire peuvent-elles influencer le résultat de mesure ?

Oui, en particulier si le conducteur primaire est enroulé plusieurs fois autour du capteur de courant. Dans ce cas, les variations rapides de tension peuvent se coupler au transformateur de courant. (cf. manuel utilisateur, en page 18).

capteurs transducteurs mesure courant variations rapides

Les mesures suivantes permettent de limiter ces effets indésirables :

  • Veiller à bien répartir les spires autour du capteur, de manière équilibrée.
  • S’assurer que les enroulements ne soient pas trop serrés autour du capteur.
  • Si possible, effectuer la mesure du côté « froid » de l’installation (conducteur de retour).
  • Relier le boîtier en aluminium du capteur à la terre (en retirant au préalable la peinture au niveau de la fixation, cf. manuel utilisateur, page 18).
  • Utiliser un tube métallique relié à la terre, traversant l’ouverture du capteur, avec l’enroulement placé à l’intérieur du tube afin d’assurer un blindage de l’électronique du capteur.

3 - À partir de quel courant primaire un capteur de courant peut-il être endommagé ?

Prenons l’exemple du capteur de courant DS50ID. La fiche technique fournit les informations suivantes.

capteurs transducteurs mesure courant dommages

Le graphique ci-dessous présente les différentes plages de courant primaire. Le capteur peut fonctionner en toute sécurité dans la zone verte.

  1. Un courant primaire supérieur à la capacité de surcharge (IOL) peut endommager le capteur, quelle que soit la durée d’exposition.
  2. Un courant primaire compris entre 150 A et 1500 A pendant une durée de 100 ms à environ 1 seconde pourrait également endommager le capteur, si celui-ci n’était pas équipé du circuit de protection avancée (ASPC). Les caractéristiques de ce dispositif de protection sont décrites dans le manuel utilisateur, au chapitre intitulé « 4.9 Advanced Sensor Protection Circuit (ASPC) ».
  3. Un courant primaire compris entre 75 A minimum (selon la charge, la résistance du câble, la tension d’alimentation, la température ambiante, etc.) et 1500 A pendant plus d’une seconde entraîne la saturation du capteur et active l’ASPC. Pour plus de détails, se référer aux chapitres « 4.3 Comportement en saturation » et « 4.9 Advanced Sensor Protection Circuit (ASPC) » du manuel utilisateur.
capteurs transducteurs mesure courant dommages

4 - Existe-t-il une différence entre le module de sortie 1 V et le module de sortie 10 V (VOM) ?

Le module 1 V est entièrement passif, basé sur une résistance de mesure. À l’inverse, le module 10 V intègre un circuit amplificateur actif.

De ce fait, le module 1 V ne présente pas d’erreur d’offset et peut être considéré comme plus précis sur ce point.

Aussi, l’erreur de ratio est légèrement inférieure à celle du module 10 V. Ces données sont disponibles dans la fiche technique de l’unité d’interface d'alimentation DSSIU-6-1U-V.

capteurs transducteurs mesure courant differences modules

Cependant, les interférences électromagnétiques et un mauvais rapport signal/bruit de l’instrument de mesure utilisé peuvent annuler cet avantage.

Il appartient donc à l’utilisateur d’évaluer les avantages et les inconvénients des modules de sortie 1 V et 10 V en fonction de son application.

5 - Quelle est la précision des capteurs de courant Danisense ?

Toutes les données nécessaires pour calculer la précision d'un capteur de courant sont indiquées dans sa fiche technique. Le calcul qui suit en exemple porte sur le modèle DS200UB-10V.

Pour un signal à composantes multiples, la précision doit être calculée pour chaque composante de fréquence.

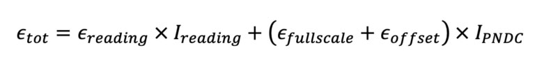
Dans cet exemple, nous calculons la précision pour un signal continu (DC). Il faut donc utiliser les données de précision spécifiées pour les fréquences inférieures à 10 Hz (<10 Hz). L’erreur totale sur le rapport de transformation peut être calculée avec la formule suivante :

capteurs transducteurs mesure courant precision

Cette formule est mentionnée dans la fiche technique à la page 3. Les données correspondantes s’y trouvent également.

capteurs transducteurs mesure courant precision

Pour calculer la précision en amplitude à 10 A, on utilise l’équation suivante :

capteurs transducteurs mesure courant precision

Si vous mesurez un courant primaire de 10 A et que votre instrument de mesure tient compte du ratio de conversion du capteur,

capteurs transducteurs mesure courant precision

vous obtenez une tension secondaire de

capteurs transducteurs mesure courant precision

Dans le cas d’un capteur idéal sans erreur d’amplitude. Or, nous avons calculé capteurs transducteurs mesure courant precision

Cela signifie que votre appareil affichera une tension comprise entre les deux valeurs calculées suivantes.

capteurs transducteurs mesure courant precision

L’erreur en pourcentage sur l’amplitude à l’instantané de 10 A peut être calculée ainsi :

capteurs transducteurs mesure courant precision

L’erreur de ratio peut être réduite en compensant l’offset.

Il est alors possible de calculer l’erreur de ratio pour n’importe quel courant primaire, même très faible.

NB : l’erreur de ratio augmente lorsque le courant primaire diminue.

Le déphasage est spécifié dans la fiche technique pour les composantes fréquentielles inférieures à 10 Hz avec une valeur de 0,01°.

Le diagramme ci-dessous en donne une représentation graphique.

capteurs transducteurs mesure courant precision

Faites appel à nos experts Alliantech pour choisir votre capteur de courant

Avec Alliantech, vous avez la garantie du choix, du conseil et de la qualité de service.

6 - Quelle est la plus petite variation de courant détectable avec le DS50UB-10V ?

Cela dépend de la résolution m (en bits) de votre convertisseur analogique-numérique (ADC). Cette résolution détermine le nombre de pas M, qui se calcule selon la formule   .

La valeur d’un pas (ou bit de poids faible – LSB) correspond à la résolution théorique de l’ADC rapportée à sa plage de tension analogique.

Prenons l’exemple d’un signal d’entrée dont la plage est définie pour le DS50UB-10V par   .

Si un courant continu de +50 A traverse le DS50UB-10V, cela génère une tension de 10 V en sortie secondaire. Le ratio de conversion est donc :1 V pour 5 A, soit 1/5 V/A.

Ainsi, la plus petite variation de courant détectable correspond à la valeur du LSB convertie en ampères via ce ratio.

capteurs transducteurs mesure courant detection petites variations

L’utilisation d’ADC à haute résolution implique généralement des exigences accrues en termes de composants à faible bruit, de blindage et de mise à la terre. Ces valeurs doivent donc être considérées comme théoriques.

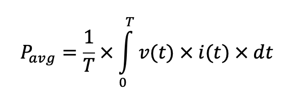
7 - Que signifie la fréquence de coupure de mon analyseur de puissance ?

Les analyseurs de puissance utilisent généralement la formule de base suivante pour le calcul de la puissance active :

capteurs transducteurs mesure courant signification frequence coupure

Ainsi, les valeurs instantanées numérisées de la tension v(t) et du courant i(t) sont multipliées puis sommées sur une fenêtre temporelle définie. En pratique, les composantes continues, harmoniques et non harmoniques jusqu’à la limite de bande passante ou fréquence de coupure du filtre de l’analyseur sont prises en compte.

La fréquence de coupure d’un analyseur de puissance caractérise la limite entre la bande passante (fréquences transmises avec une atténuation minimale) et la bande d’arrêt (fréquences fortement atténuées) pour les signaux de mesure appliqués aux entrées.

La bande passante correspond à la plage de fréquences que le filtre laisse passer avec une atténuation minimale.

La bande d’arrêt correspond à la plage de fréquences fortement atténuées par le filtre.

La fréquence de coupure est souvent définie comme le point où la bande de transition rencontre la bande passante, par exemple le niveau de sortie du filtre tombe ou monte à 50 % (±3 dB, puisque ±3 dB correspond environ à une puissance divisée ou multipliée par deux) du niveau en bande, pour un niveau d’entrée constant. Elle est aussi appelée fréquence à moitié-puissance ou fréquence ±3 dB.

capteurs transducteurs mesure courant signification frequence coupure

La bande d’arrêt commence là où le filtre atteint le niveau requis de rejet.

À la fréquence de coupure, les signaux d’entrée des voies de mesure sont atténués de 3 dB. Toutes les composantes fréquentielles ou les bruits supérieurs à cette fréquence sont atténués.

En raison du délai temporel induit par le filtre passe-bas, toutes les voies doivent avoir les mêmes caractéristiques de filtre. Sinon, le logiciel interne de l’instrument devra compenser un délai supplémentaire pour les voies avec un filtre différent.

8 - Je peux choisir entre 50 Ohms et 1 MOhm pour le canal d’entrée de mon appareil de mesure. Quelle valeur dois-je sélectionner ?

Il est nécessaire de sélectionner une résistance de 50 Ohms sur le canal de mesure si elle correspond à l’impédance caractéristique du câble coaxial, notamment lorsqu’il existe un risque de réflexions sur le câble de connexion. Cela se produit lors de mesures de signaux haute fréquence ou de signaux avec des fronts rapides.

Sans terminaison adaptée à une ou aux deux extrémités du câble, des ondes réfléchies peuvent se propager dans le câble, dans les deux sens, ce qui risque de provoquer une forte déformation du signal mesuré.

De manière générale, pour la mesure de tension, il est recommandé d’utiliser des entrées haute impédance de 1 MOhm. Le courant parasite traversant la résistance d’entrée reste très faible, ce qui limite l’impact sur la précision spécifiée.

9 - Comment les champs d’interférences électromagnétiques peuvent-ils affecter ma mesure ?

De nos jours, les charges non linéaires, comme les alimentations à découpage, ne provoquent pas seulement des distorsions harmoniques sur le réseau électrique. Elles sont aussi souvent à l’origine d’émissions électromagnétiques telles que :

  • des champs magnétiques parasites peuvent être générés par des composants bobinés,
  • des champs électriques parasites peuvent être créés par des conducteurs soumis à des tensions impulsionnelles élevées.

Ces champs peuvent se coupler dans le capteur de courant. Il est possible d’observer ces oscillations avec un oscilloscope.

Avec un DS50UB-10V sans alimentation connectée et un boîtier non relié à la terre, il est possible de détecter une oscillation d’environ 44 MHz via la connexion BNC. Cette oscillation correspond à un courant primaire d’environ 20 mA crête à crête. La mesure a été réalisée sur un bureau standard.

capteurs transducteurs mesure courant interferences electromagnetiques

Cette interférence est hors de la bande passante spécifiée du transformateur de courant (500 kHz). Un filtre passe-bas dans la plage des quelques MHz pourrait réduire significativement ce type d’interférence.

10 - Des perturbations apparaissent sur le signal de sortie du capteur de courant. D’où proviennent-elles ?

Dans un environnement de laboratoire, de nombreuses alimentations sont utilisées. Outre l’ordinateur portable, les instruments de mesure tels que les oscilloscopes nécessitent une alimentation convertissant le courant alternatif en courant continu.

Pour réduire la taille du transformateur interne, la tension secteur est convertie à haute fréquence. Cela génère des émissions électromagnétiques, détectables qualitativement avec une sonde d’oscilloscope court-circuitée, par exemple.

capteurs transducteurs mesure courant perturbations signal sortie

Ces émissions peuvent traverser l’ouverture interne du capteur de courant et se retrouver dans le signal secondaire.

capteurs transducteurs mesure courant perturbations signal sortie

L’oscillation visible sur l’image précédente est d’environ 3,33 MHz.

Les capteurs de courant ne possèdent pas de filtre passe-bas sur leur sortie, ces signaux ne sont donc généralement pas atténués.

Pour les mesures à l’oscilloscope, il est recommandé d’utiliser un appareil doté de fonctions de filtrage en entrée afin de minimiser les interférences haute fréquence.

Vous recherchez un capteur de courant ?

Nos experts Alliantech vous accompagnent dans le choix du capteur de courant le plus adapté à vos applications.

11 - Des ondulations apparaissent dans le courant d’alimentation de l’électronique du capteur...

Oui, c’est exact. En général, la fréquence d’excitation du capteur de courant, indiquée dans la fiche technique, est visible dans le courant d’alimentation.

Par exemple, pour le modèle DS50UB-10V, la fréquence d’excitation est spécifiée à 31,25 kHz.

Cette oscillation fait partie intégrante du courant continu consommé par le capteur.

capteurs transducteurs mesure courant perturbations signal sortie

12 - Quelle est la distance minimale par rapport au conducteur de retour ou au conducteur voisin ?

La distance minimale correspond à la différence entre le rayon extérieur et le rayon intérieur du capteur de courant :

Rayon extérieur – Rayon intérieur = distance entre le boîtier externe du capteur et le conducteur de retour ou le conducteur voisin.

capteurs transducteurs mesure courant distance minimale conducteurs

13 - Comment savoir à quelle date mon capteur de courant a été fabriqué ?

Chaque capteur de courant Danisense possède une plaque signalétique.

capteurs transducteurs mesure courant date fabrication

Le numéro de série permet de connaître la date de fabrication :

  • Les deux premiers chiffres indiquent l’année de production.
  • Les troisième et quatrième chiffres correspondent à la semaine de production.

14 - Quelle est la durée de garantie pour ces capteurs de courant ?

La garantie débute à la date de production selon le numéro de série et dure 24 mois :

  • sur le fonctionnement du capteur de courant
  • sur la conformité aux spécifications de la fiche technique

Les valeurs de précision indiquées dans la fiche technique s’appliquent pendant toute la durée de vie du capteur.

Après 24 mois, il est recommandé d’effectuer un étalonnage tous les 1 à 2 ans afin de renforcer la fiabilité des mesures, conformément aux exigences souhaitées par l'utilisateur.

15 - Nous utilisons le modèle DR5000IM et nous craignons des interférences électromagnétiques provenant du conducteur de retour. Que devons-nous prendre en compte ?

En raison de la conception spécifique du noyau des capteurs de courant, l’élément fluxgate chargé de détecter le courant continu est blindé contre les champs électromagnétiques.

Modifier la distance au conducteur de retour n’impacte l’exactitude qu’à l’échelle de quelques ppm.

Néanmoins, il reste toujours conseillé d’augmenter autant que possible la distance entre le capteur et le conducteur de retour, ou toute autre source potentielle d’interférences.

capteurs transducteurs mesure courant interferences conducteur retour

Faites appel à nos experts Alliantech pour choisir votre capteur de courant

Avec Alliantech, vous avez la garantie du choix, du conseil et de la qualité de service.

16 - Pourquoi la bande passante de la voie d’entrée de l’appareil de mesure doit-elle être limitée à la bande passante spécifiée du capteur de courant choisi ?

Dans de nombreux cas, la bande passante spécifiée du capteur de courant est inférieure à celle de l’appareil de mesure.

Les composantes de signal transmises au secondaire au-delà de la bande passante spécifiée peuvent être fortement amplifiées ou atténuées.

Les transformateurs de courant ne sont pas limités par un filtre passe-bas interne à fréquence de coupure définie.

capteurs transducteurs mesure courant limite bande passante

Selon les fiches techniques Danisense, chaque capteur de courant possède une bande passante spécifiée (voir en page 2 de la datasheet).

capteurs transducteurs mesure courant limite bande passante

Toute composante d’interférence ou de fréquence supérieure, présente dans le signal primaire entre la bande passante spécifiée et la fréquence de coupure, peut être amplifiée ou atténuée par le capteur et ainsi fausser les valeurs mesurées.

17 - Après avoir déconnecté le câble DSUB du capteur de courant alors qu’un courant primaire était toujours présent, le capteur ne fonctionne plus après reconnexion du câble (sans avoir modifié le courant primaire). Pourquoi ?

Il s’agit d’un comportement normal des capteurs de courant Danisense.

En l’absence d’alimentation, le capteur de courant ne peut plus réguler le flux magnétique dans les cœurs vers zéro. C’est pourquoi ces capteurs sont appelés capteurs de courant à flux nul (zero-flux).

Si le courant primaire n’est pas coupé, il continue de produire un champ magnétique dans les cœurs en fer. Si le capteur est remis sous tension (reconnexion du câble DSUB) alors que ce champ est encore présent, la LED verte reste éteinte et le transducteur se met en défaut.

Cela s’explique par le fait que le capteur à effet fluxgate est saturé à cause du courant primaire présent avant l’alimentation du capteur. Le système de régulation ne peut donc plus annuler le champ magnétique, ce qui peut provoquer une aimantation résiduelle du cœur et entraîner une erreur d’offset importante.

capteurs transducteurs mesure courant deconnexion dysfonctionnement

Pour retrouver les performances spécifiées :

  • le courant primaire doit être mis à zéro avant de reconnecter le capteur,
  • l’alimentation du capteur doit être active avant l’application du courant primaire.

En cas de déconnexion accidentelle du câble DSUB en cours de mesure, il est nécessaire de couper le courant primaire avant toute reconnexion.

Le capteur fonctionnera ensuite normalement.

18 - Lorsque j’ai mesuré un courant primaire qui a dépassé pendant plus d’une seconde la valeur maximale spécifiée dans la fiche technique, la sortie secondaire est tombée à 0 et y est restée, bien que le courant primaire soit de nouveau dans les limites des spécifications. Ce comportement est-il normal ?

Oui. Le comportement des transducteurs à fluxgate est bien expliqué à la page 22 du manuel utilisateur.

capteurs transducteurs mesure courant depassement

Le capteur de courant fonctionnera alors de nouveau correctement.

19 - J’ai augmenté la résistance de mesure conformément aux spécifications de la fiche technique afin de mieux mesurer de faibles courants. Cependant, le courant primaire a atteint la valeur pleine échelle pendant l’intervalle de test. Le capteur de courant est-il maintenant endommagé ?

En général, vous pouvez augmenter la résistance ohmique si vous mesurez de faibles courants primaires. Dans la plupart des fiches techniques, vous trouverez cette figure 2 comme celle ci-dessous.

capteurs transducteurs mesure courant pleine echelle

Si le courant primaire augmente alors qu’une résistance de charge élevée est utilisée, la tension à ses bornes va également augmenter. À un certain moment, le relais intégré au capteur désactivera la sortie du transducteur.

Le mécanisme est le suivant : lorsque la tension aux bornes de la résistance de charge s’approche de la tension d’alimentation du DCCT, l’amplificateur opérationnel du DCCT ne peut plus fournir davantage de courant. Le noyau magnétique sort alors de son état de fonctionnement en flux nul (zero-flux), c’est-à-dire que le détecteur à fluxgate entre en saturation. Cela entraîne la coupure de la sortie du transducteur par le relais.

Le transducteur ne devrait pas être endommagé.

20 - Je suis en train d’évaluer le transducteur de courant Danisense série DS. L’appareil fonctionne bien à part une anomalie. Lorsqu’il est alimenté et mesure un courant primaire, je peux déconnecter le câble DSUB et détecter cette déconnexion via le bit d’état. Mais lorsque je reconnecte le câble (sans changer le courant primaire), le transducteur continue d’indiquer une erreur et la LED verte reste éteinte. L’appareil reste en défaut jusqu’à ce que je ramène le courant primaire à zéro. Ce comportement est inattendu, je souhaite donc vérifier s’il est normal.

Oui, c'est normal. Il s’agit du comportement attendu pour maintenir l’erreur d’offset du transducteur dans les tolérances spécifiées.

Le détecteur à fluxgate est alors saturé et ne peut plus contrôler le courant de compensation : les contacts du relais se ferment pour court-circuiter l’enroulement et protéger l’électronique.

21 - Les modules de sortie en tension (VOM) peuvent-ils indiquer un sur-courant primaire ?

Le module de sortie en tension (VOM) peut fournir des signaux de sortie haute précision jusqu’à 12 V. Si le courant primaire nominal correspond à une tension de sortie de 10 V, un sur-courant allant jusqu’à 120% du courant primaire nominal peut être mesuré.

Cependant, le transducteur de courant installé avec une sortie en courant sur l'alimentation DSSIU-6-1U-V doit être spécifié pour supporter ce sur-courant.

Les modules 1 V ne contiennent qu’une shunt passive. La tension de sortie suivra le courant primaire, conformément aux spécifications du transducteur de courant à sortie en courant.